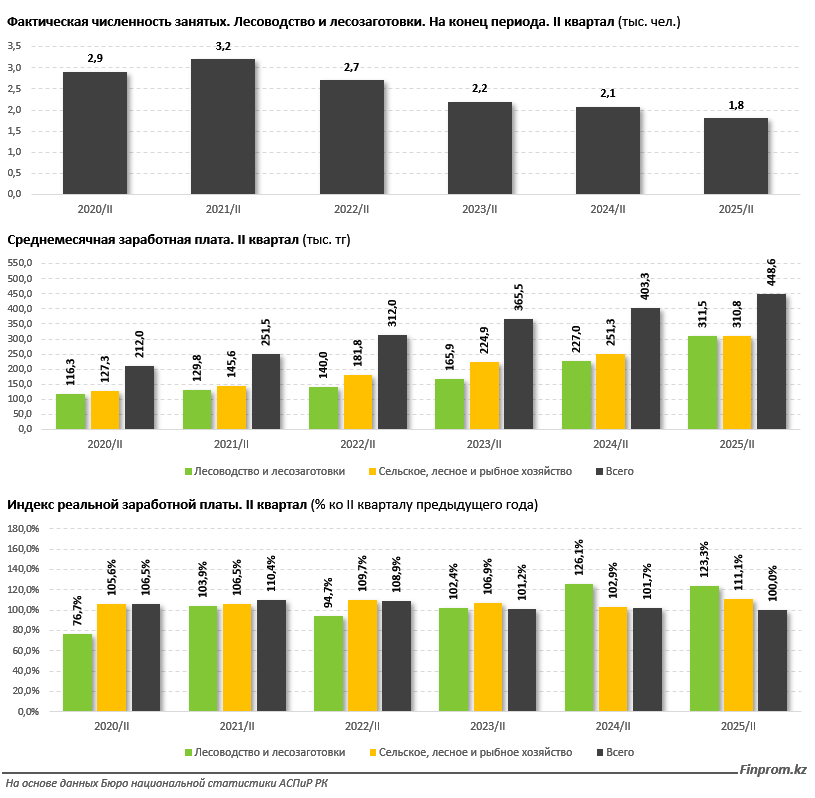
По итогам второго квартала текущего года в сфере лесоводства и лесозаготовок, по данным Бюро национальной статистики АСПиР РК, фактически были заняты всего 1,8 тыс. человек, тогда как пять лет назад их численность составляла почти 3 тыс. человек, передает inbusiness.kz со ссылкой на Finprom.kz.
Сокращение численности занятых в секторе может указывать на то, что новые инвестиции направлены преимущественно на автоматизацию процессов, обновление техники, закупку семян и посадочного материала, развитие инфраструктуры, а не на расширение штата.
На фоне сокращения численности работников в отрасли наблюдается резкий рост зарплат.
По данным Finprom.kz, во втором квартале 2025-го средняя заработная плата работников сферы лесоводства и лесозаготовок составила 311,5 тыс. тг, увеличившись за год на 37%. Для сравнения: по экономике в целом рост составил 11,3%, с 403,3 тыс. до 448,6 тыс. тг, а конкретно в сегменте АПК — на 23,7%, до 310,8 тыс. тг. Это может говорить о том, что отрасли нужны более профессиональные и, соответственно, более высокооплачиваемые специалисты.
"Покупательная способность зарплат в отрасли также показала заметный рост: сразу на 23,3% за год. При этом в среднем по экономике показатель вовсе не изменился. Однако, несмотря на опережающую динамику, уровень оплаты труда в сфере лесоводства и лесозаготовок всё ещё ниже среднереспубликанского: разрыв во втором квартале 2025 года составил чуть более 30%", - говорится в исследовании.

Читайте по теме:
Минэк назвал размер минимальных пенсий и зарплат в Казахстане к 2028 году